GZDWT系列智能高频开关

产品概述:
GZDWT系列智能高频开关电力操作电源系统是集多年开发和设备网上运行经验设计的高可靠产品,由高频开关电源模块、智能监控模块及高性能蓄电池组成. 本产品广泛适用于各类变电站、发电厂、水电站、石化、冶金、电气化铁路以及各类开闭所和用户变中,为操作分合闸、及二次回路中的仪器仪表、继电保护和故障照明提供直流电源。
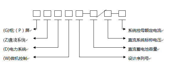
型号命名:

技术参数:
输入电压 | 380V±15%(三相) 220V±15%(单相) |
电网频率 | 50Hz±10% |
额定输出直流电压范围 | 48V、110V(90V-160V连续可调)220V (180V-320V连续可调) 等 |
输出欠压 | 196V±2V, 98V±2V |
过压保护 | 325V±5V, 162V±2V |
蓄电池额定容量 | 5~~40Ah |
事故后供电时间 | 1h |
常规负荷母线额定电流(A) | 5、10、 |
直流设备中各电路的额定绝缘电压 | 直流63V及以上(48V系统) 直流200V及以上(110V系统) 直流300V及以上(220V系统) |
绝缘电阻 | ≥10MΩ |
稳压精度 | ≤±0.5% |
稳流精度 | ≤±1% |
纹波系数 | ≤0.5% |
合闸时动力母线电压 | ≥200V |
外壳防护等级 | 不低于IP30 |
效率 | η≥90% |
效率因数 | cosΦ≥95% |
均流不平衡度 | 充电模块间电流不均衡度≤5% |
相对湿度 | ≤90%(20±5℃) |
环境温度 | -5℃~+45℃ |
可闻噪音 | ≤60dB |
绝缘强度:输出对地、输入对低、输入对输出施加2KVAC,IMin无飞弧无闪络 |
尺 寸:750 mm×650mm×30mm |

